1. 单位
最基本的知识点没有必要讲。
公制单位
三个基本单位:国际单位制(SI)
质量:m单位:kg (kg)
长度:l单位:米
时间:t单位:秒

运动学
线速度和角速度

线加速度和角加速度

能量

帝国单位
在工作中有时会在某些机器和零件上遇到英制单位,所以需要对英制单位有一定的了解,进行简单的换算。
质量、重量、力:
单位:磅(lb)(盎司(oz): 1磅= 16盎司)
长度:
单位:英寸(in)[1英尺= 12英寸-1码= 3英尺]
时间:
单位:秒
线路速度:
单位:英寸/秒(in/s)
线性加速度:
单位:英寸每平方秒(in/s²)
转矩:
单位:英磅(in.lb)
惯性:
单位:英寸磅平方秒(in. lbs²)
等效公制和英制单位(换算后)
重量:
1磅(lb) = 453,59237克= 0,45359237公斤= 4,44822牛
长度:
1英寸= 2,54厘米= 0,0254米
转矩:
1英寸磅(in.lb) = 0,1130234牛米
惯性:
1英寸磅秒平方(in.lb.s²)= 0,112961 kg.m²
重力加速度:
G = 386in /s²= 32,12 ft/s²= 9,81 m/s²
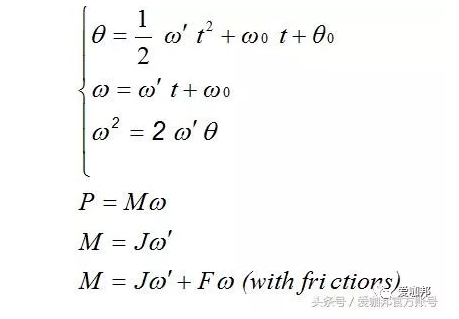
2. 力学公式
运动无非有两种:直线运动和角运动
直线运动:

角运动:

动能:

第三,一些惯性计算
密度:
单位:千克每立方米(Kg/m3)磅每立方英尺(lb/in3)
体积所承载的重量取决于它的构成材料。

根据形状计算体积:
当长方体:

固体缸:

空心圆柱体:

力臂和质量:


好吧,这就是干货的意义!
常用转动惯量计算公式表:
